√ 乗法 の 公式 182380
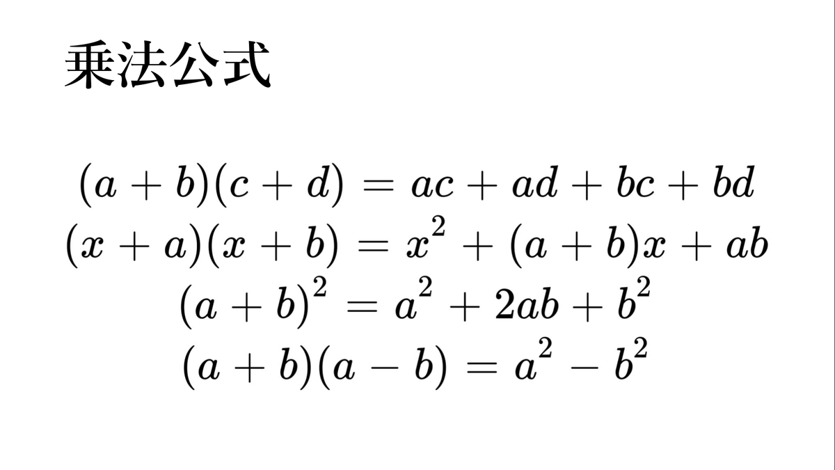
②乗法公式 (xa)(xb)の展開 まず、 (ab)(cd)=acadbcbd の公式を使って、次の式を展開してみましょう。 (x5)(x7) = x 2 7x5x35 = x 2 12x35 上の計算のように、7xと5xは 同じ文字の項 なので まとめて12x にすることができます。 (x5)(x7) = x 2 12x35 ここで、左辺のカッコ内の数 5と7 、右辺のxの係数 12 と数学Ⅰ eテレ 毎週 月曜日 午後2:10~2:30 ※この番組は、21年度の新作です。乗法公式については展開後の形を暗記することが一番良いです。 ① (x a)(x b) = x^2 (a b)x ab ② (x a)^2 = x^2 2ax a^2 ③ (x a)^2 = x^2 2ax a^2 ④ (x a)(x a) = x^2 a^2 ①の公式はこの後の因数分解でもよく使いますので、丸暗記してしまいましょう。
乗法の公式 2 看護受験の必須 数学の公式を確認テスト Vol2 Kazアカデミー 大阪の看護学校 看護予備校
乗法 の 公式
乗法 の 公式-Excelで作成した、乗法公式の計算練習問題のワークシートです。 F9(ファンクションキー)を押すたびに計算問題の数字が変化します。 乱数を活用しているので、毎回違うワークシートで学習することができます。 解答も同じシートに書かれていますただ 乗法公式を忘れたとしても、それぞれの掛け算をすることで式を展開することができます。 以下のようになります。 $(x3)^2$ $=(x3)(x3)$ $=x^23x3x9$ $=x^26x9$ 乗法公式を覚えていれば、こうした計算を省いて答えを出すことができます。



中三受験講座 英数ポイント解説映像授業 進研ゼミ中学講座会員サイト
ここでの内容は、こんな人に向けて書いています 乗法公式を覚えたい・覚え方を知りたい 乗法公式を使って、もっと早く式を計算できるようになりたい 覚えた乗法公式を使って計算問題の解き方を学びたい このページでは、乗法公式の簡単な覚え方を紹介します。 私は公式の暗記が苦手で乗法公式の利用1 式の展開 0430 慣れるまで難しく感じるかもしれませんが、練習して定着させましょう。 ( )2乗のパターンは、「右を2倍して左を掛ける」と覚えましょう。 展開後の3項目は必ずプラスになることも気をつけましょう。 ( ) ( )の乗法公式1 式の展開 0327 式の展開において、乗法公式は必ず覚えて自由自在に使えるようになりたい分野です。 展開は一つ一つ項を掛ければできるとはいえ、数学は時間との勝負なので、絶対に公式で計算できるようにしてください。 今後この公式
乗法公式とは 式を展開するときに、次の公式がよく用いられます。 これらの公式乗法公式とよばれる公式です、 後の 因数分解 という単元でとても大切になるので、必ず覚える ようにしましょう。 覚えるためには、たくさんの問題を解くしかありません。高校講座home >> 数学Ⅰ >> 第5回 数と式 実数、有理数、無理数;多項式の乗法と乗法公式について説明をしていきます。 途中、非常に重要なポイントがありますので、そこを見逃さないようにしてくださいね! 多項式の乗法・乗法公式 多項式の乗法は多項式×単項式と
中学でならう乗法公式の覚え方ってある?? こんにちは!この記事をかいているKenだよ。牛乳を小分けで買ったね。 中学3年生になると、 乗法の公式 をおぼえなきゃいけない。 いや、べつに覚えなくても大丈夫。乗法公式 第 \(1\) の公式は以下のものです。 \((xa)(xb)=x^2(ab)xab\) 一体どのようにこの公式を使うの?って思いますよね。 \(x\) の \(1\) 次の項は、和 定数項は、積 になっているよ! という公式なのです。 具体例をみて学習していかないと話になりません。乗法公式の利用1 式の展開 0430 慣れるまで難しく感じるかもしれませんが、練習して定着させましょう。 ( )2乗のパターンは、「右を2倍して左を掛ける」と覚えましょう。 展開後の3項目は必ずプラスになることも気をつけましょう。 ( ) ( )の



中3数学12 式の計算3 乗法 公式2 3 基本問題 解答 303



中3数学 展開の公式のやり方は 問題を使って徹底解説 数スタ
乗法公式については展開後の形を暗記することが一番良いです。 ① (x a)(x b) = x^2 (a b)x ab ② (x a)^2 = x^2 2ax a^2 ③ (x a)^2 = x^2 2ax a^2 ④ (x a)(x a) = x^2 a^2 ①の公式はこの後の因数分解でもよく使いますので、丸暗記してしまいましょう。それでは、公式を使って3乗の展開を計算してみましょう。 まずは3乗します。 次は、3倍2乗1乗。 次は、3倍1乗2乗。 そして最後に3乗! あとは、それぞれの項を計算してやれば完了です。 ちょっと複雑には見えますが、ルールを覚えてしまえば簡単です基本的な乗法公式(展開公式) I (ab)2=a22abb2 II (a−b)2=a2−2abb2 III (ab) (a−b)=a2−b2 ※ これらの公式のうち I~ IVは中学校の復習となっているが,高校の数学 I でもう一度出てくる.公式は中学校と同じでも,扱い方が少し変るところがある



数学 中3 3 展開 4つの公式 Youtube



多項式の乗法公式を理解しよう 数学嫌いな子のための簡単理解法 分かりにくいを分かりやすいに
本時の学習内容「いろいろな式を展開し、その規則性から公式化しよう」を知る。 ( a + b ) 2 = ( a + b ) ( a + b ) になることを確認する。 見通す 数学的活動 〔成り立つ事柄を予想する活動〕 ( a + b ) ( a + b ) の展開を考える。 練り合う乗法公式(展開公式)について,例題と使いこなすコツを述べながら公式19個を紹介していきます。 最初は易しいですがどんどん難しくなります。 目次 (xa) (xb) の乗法公式 2乗の乗法公式 和と差の展開公式 (axb) (cxd) の乗法公式 3乗の乗法公式 (abc)^2



1 数と式vol 5乗法公式 少し複雑な展開 毎日こつこつ数学 A



忙しい人のための中学数学 式の展開 因数分解 計算のルール編 桜花 現役バイト塾講師 Note



数ii 三次の乗法公式と因数分解 高校生 数学のノート Clear



式と乗法公式 Ict教材eboard イーボード



乗法公式 X A X B Youtube



中3 数学 乗法公式 まとめ 中学生 数学のノート Clear



モノマナビ研究所



本時の目標 同じパターンの式の展開を乗法の公式としてまとめ その公式を使って式の展開ができるようにする Ppt Download



トピック関連記事



5 1 乗法公式 イ弋マ本ゼミナール



展開の公式 乗法公式 の計算方法を図にしてみました あんず学習塾のメモ 図表置き場



中3 数学 乗法公式 まとめ 中学生 数学のノート Clear



中3数学の計算問題プリント 式の展開 と因数分解 桜花 現役バイト塾講師 Note



無料 中3数学 基本問題 問題プリント 302 式の計算2 乗法 公式1



中学校 数学 3年 1章 6 乗法の公式を完璧にマスターする動画 ワカデキな中学校数学



中3 数学 乗法公式 まとめ 中学生 数学のノート Clear



ボード 学習ノート のピン



成績が上がるノートの取り方



中3数学 単項式 多項式の乗法 映像授業のtry It トライイット



無料 中3数学 基本解説 問題プリント 302 式の計算2 乗法 公式1



3年 図形で考えよう X A X B 数学イメージ動画集 大日本図書



中3年生数学先取り 展開式 パート 長野県佐久市の個別塾 学習塾 ナビ個別指導学院 佐久校ブログ



乗法と除法 の勉強法のわからないを5分で解決 映像授業のtry It トライイット



Descubre Como Resolverlo En Qanda



第1回展開 乗法公式3分間トレーニング すばやく 正確に Ppt Download



ごちゃ混ぜ乗法公式 因数分解 川越 黒岩塾 ブログ 自己ベストを狙え 自学力追及 少人数制 無料体験生たくさん来てますよ さぁ これからが始まりだ



乗法公式



1 Ab 3a33a2b3ab2b3 See How To Solve It At Qanda



乗法公式1 5 元seの勉強部屋



板書ノート公開 中3数学 式の展開 後藤塾ブログ



中学3年 平方根 第10講 清水塾



中3数学 第6講座 因数分解 学習塾サンクス ワン



最小二乗法の式の導出と例題 最小二乗法と回帰直線を思い通りに使えるようになろう 数学の面白いこと 役に立つことをまとめたサイト



式の展開 乗法公式を1瞬でマスターできる3つの覚え方 Qikeru 学びを楽しくわかりやすく



ม 3 โน ตของ 数学 3年 乗法公式の展開と計算 ช น Junior Clear



中3数学第1章5乗法の公式2基本問題 Youtube



3分で分かる 多項式とは 加法 減法 乗法についてわかりやすく 合格サプリ



乗法



中学3年 多項式の計算 第3講 清水塾



簡単証明 乗法の公式はなぜ使えるんだろう Qikeru 学びを楽しくわかりやすく



中3数学 式の計算 乗法公式2 基本問題 ヒント 303 プリント



乗法公式



高校数学 分数式の乗法と除法 受験の月



本時の目標 同じパターンの式の展開を乗法の公式としてまとめ その公式を使って式の展開ができるようにする Ppt Download



中3数学 複雑な式の展開をマスターしよう 数スタ



高校数学 数 7 展開 3次式の公式編 Youtube



Youtube Lesson 中3 式の計算 3 乗法公式 桂坂数学教室



乗法公式は覚えなくてもいいんじゃないだろうか 学習塾q



中3 数学 乗法公式 まとめ 中学生 数学のノート Clear



乗法の公式 2 看護受験の必須 数学の公式を確認テスト Vol2 Kazアカデミー 大阪の看護学校 看護予備校



式の展開 乗法公式を1瞬でマスターできる3つの覚え方 Qikeru 学びを楽しくわかりやすく



式の展開 乗法公式を1瞬でマスターできる3つの覚え方 Qikeru 学びを楽しくわかりやすく



3次式の乗法公式が成り立つことの証明が分かりません 写真の問3です Clear



モノマナビ研究所



おべんとう数学教室 公式 Obento Math Twitter



忙しい人のための中学数学 式の展開 因数分解 計算のルール編 桜花 現役バイト塾講師 Note



乗法公式を利用した計算 問題 Youtube



中学数学3年 展開と乗法公式 受験の月



高校数学 展開公式の利用 受験の月



多項式と単項式の乗法除法



乗法公式を利用した計算 Youtube



中3数学の発展問題プリント 問題と解答



本時の目標 同じパターンの式の展開を乗法の公式としてまとめ その公式を使って式の展開ができるようにする Ppt Download



中3 中3数学 乗法公式の使い方 中学生 数学のノート Clear



いろいろな多項式を展開してみよう 前編 インターネット家庭教師のアスミラ



1 数と式vol 4乗法公式 展開 毎日こつこつ数学 A



整式の乗法 多項式の展開公式 小テストno 3の解答 保谷高校数学科



単項式の全てがこれでわかる 単項式の係数と次数 乗法 除法や多項式との違いまで 高校生向け受験応援メディア 受験のミカタ



中三受験講座 英数ポイント解説映像授業 進研ゼミ中学講座会員サイト



中3数学の基本解説プリント 問題と解答



数学 3次式の展開公式の使い方とコツ ページ 2 教科書より詳しい高校数学



微分積分とは 高校数学の基礎から応用までわかりやすい記事総まとめ



乗法公式の覚え方 4つの乗法公式を簡単に覚える方法 数学の面白いこと 役に立つことをまとめたサイト



微分積分とは 高校数学の基礎から応用までわかりやすい記事総まとめ



数学 A B C 二乗の展開公式は 問題の解き方は徹底解説 数スタ



乗法公式を利用した有理化 Youtube



乗法の公式 3 看護受験の必須 数学の公式を確認テスト Vol3 Kazアカデミー 大阪の看護学校 看護予備校



乗法公式 応用 X A 2 Youtube



式の展開 乗法公式を1瞬でマスターできる3つの覚え方 Qikeru 学びを楽しくわかりやすく



数 乗法公式とその利用の定期テスト対策問題 解説付 Tekibo



ベスト50 中 3 数学 展開 最高のぬりえ



を含む乗法公式 On Vimeo



数探高校講座 数学 数と式 4 乗法公式 数学探究所



数と式 整式の因数分解に関する問題を解いてみよう 日々是鍛錬 ひびこれたんれん



式の展開 乗法公式を1瞬でマスターできる3つの覚え方 Qikeru 学びを楽しくわかりやすく
コメント
コメントを投稿